LEVONOREE 0,10 mg/0,02 mg filmtabletta
Hatóanyag:
levonorgestrel, ethinylestradiol
Normatív TB-támogatás:
Eü. emelt támogatás:
Gyártó:
Q PHARMA
Ár:
-
Hatóanyag:
levonorgestrel, ethinylestradiol
Normatív TB-támogatás:
Eü. emelt támogatás:
Gyártó:
Q PHARMA
Ár:
-
Betegtájékoztató
1. Milyen típusú gyógyszer a Levonoree 0,10 mg/0,02 mg filmtabletta és mire alkalmazható?
- A Levonoree 0,10 mg/0,02 mg filmtabletta (a továbbiakban: Levonoree filmtabletta vagy Levonoree) egy fogamzásgátló tabletta, és terhesség megelőzésére használják.
- Mindegyik rózsaszín filmtabletta kis mennyiséget tartalmaz két különböző női hormonból, a levonorgesztrelből és az etinilösztradiolból.
- A fehér filmtabletták nem tartalmaznak hatóanyagot, ezeket placebotablettáknak hívják.
- A két hormont tartalmazó fogamzásgátló tablettákat "kombinált" tablettáknak hívják.
2. Tudnivalók a Levonoree filmtabletta alkalmazása előtt
Ne szedje a Levonoree filmtablettát
Nem szabad szednie a Levonoree filmtablettát, ha az alább felsorolt állapotok valamelyike fennáll Önnél. Tájékoztassa kezelőorvosát, ha az alábbi állapotok bármelyike fennáll Önnél. Kezelőorvosa megbeszéli Önnel, hogy melyik születésszabályozó módszer lenne megfelelőbb az Ön számára.
- ha Önnek vérrög van (vagy valaha volt) a lábszárának (mélyvénás trombózis, MVT), tüdejének (tüdőembólia, TE) vagy más szervének vérerében;
- ha tudomása van arról, hogy véralvadási zavarban szenved - például protein C-hiány, protein S-hiány, antithrombin III-hiány, az V. véralvadási faktor Leiden-mutációja vagy antifoszfolipid antitestek jelenléte;
- ha Önnél műtéti beavatkozást szükséges végezni vagy hosszú ideig fekvőbeteg (lásd a "Vérrögök" című pontot);
- ha valaha volt szívrohama vagy agyi érkatasztrófája (sztrókja);
- ha Önnek angina pektórisza (ez egy olyan állapot, ami súlyos mellkasi fájdalommal jár, és a szívroham első jele lehet) vagy az agyi véráramlás átmeneti zavara (TIA - tranziens iszkémiás attak) áll fenn (vagy valaha fennállt);
- ha az alábbi betegségek bármelyikében szenved, amelyek fokozhatják az artériás vérrögök kialakulásának kockázatát:
-- súlyos cukorbetegség, amely érkárosodással jár,
-- nagyon magas vérnyomás,
-- nagyon magas vérzsírszint (koleszterin vagy triglicerid),
-- hiperhomociszteinémia néven ismert állapot;
- ha Önnek "aurával járó migrén" típusú migrénje van (vagy valaha volt);
- ha hasnyálmirigy-gyulladása (pankreatitisze) van (vagy korábban előfordult);
- ha májbetegsége van (vagy korábban előfordult), és a máj működését jellemző laboratóriumi értékek még nem tértek vissza a normális értéktartományba;
- ha májdaganata van (vagy korábban előfordult);
- ha emlőrákja vagy a nemi szerveket érintő daganata van (vagy korábban előfordult), illetve ha felmerült a gyanúja, hogy ilyen típusú daganatos megbetegedésben szenved;
- ha ismeretlen eredetű hüvelyvérzése van;
- ha allergiás az etinilösztradiolra, a levonorgesztrelre vagy a gyógyszer (6. pontban felsorolt) egyéb összetevőjére;
- Ne alkalmazza a Levonoree-t, ha C-típusú májgyulladása (hepatitisz C-fertőzése) van és ombitaszvir/paritaprevir/ritonavirt, dazabuvirt, glekaprevir/pibrentaszvirt vagy szofoszbuvir/velpataszvir/voxilaprevirt tartalmazó gyógyszert szed (lásd az "Egyéb gyógyszerek és a Levonoree filmtabletta" című részt is).
Figyelmeztetések és óvintézkedések
Tájékoztassa kezelőorvosát, ha az alábbiak bármelyike vonatkozik Önre.
Amennyiben ilyen állapot alakul ki, vagy meglévő állapota súlyosbodik miközben a Levonoree-t szedi, erről tájékoztassa kezelőorvosát:
- ha Ön Crohn-betegségban vagy kólitisz ulcerózában (idült gyulladásos bélbetegségben) szenved;
- ha Ön szisztémás lupusz eritematózuszban szenved (SLE - egy olyan betegség, ami a természetes védekezőképességét befolyásolja);
- ha Ön hemolitikus urémiás szindrómában szenved (HUS - egy olyan véralvadási zavar, ami veseelégtelenséget okoz);
- ha Ön sarlósejtes vérszegénységben szenved (a vörösvértestek örökletes betegsége);
- ha emelkedett az Ön vérzsírszintje (hipertrigliceridémia), vagy a családi kórtörténetében szerepel ilyen állapot. A hipertrigliceridémiát összefüggésbe hozták a pankreatitisz (hasnyálmirigy-gyulladás) kialakulásának megnövekedett kockázatával.
- ha Önnél műtéti beavatkozást szükséges végezni, vagy hosszú ideig fekvőbeteg (lásd a "Vérrögök" című pontot);
- ha Ön nemrégiben szült, akkor Önnél fokozott a vérrögök kialakulásának kockázata. Kérdezze meg kezelőorvosát, hogy a szülés után mennyi idő elteltével kezdheti meg a Levonoree szedését.
- ha Önnél a bőr alatt lévő vénák gyulladása áll fent (felszínes tromboflebitisz);
- ha Önnek visszértágulatai vannak;
- ha méhmiómája van (a méh izomrétegét érintő jóindulatú daganatok állnak fenn Önnél);
- ha májbetegsége, vagy epehólyag-problémája van;
- ha a szívet érintő betegsége, vagy vesebetegsége van;
- ha a végtagjait érintő keringési problémái vannak;
- ha vérnyomás-emelkedése van;
- ha cukorbetegsége van, vagy a szervezete nehezebben bont le bizonyos cukrokat;
- ha dohányzik (lásd lejjebb, a "Vérrögök című részt);
- ha 35 éves, vagy annál idősebb;
- ha jelentős túlsúllyal küzd;
- ha migrénben szenved;
- ha depressziós,
- ha epilepsziás (lásd az "Egyéb gyógyszerek és a Levonoree filmtabletta" című részt),
- ha olyan betegsége van, amely először a terhesség során, vagy nemi hormonok korábbi szedése során mutatkozott meg (például hallásvesztés, egy porfíria nevű vérbetegség, bőrkiütés hólyagokkal a terhesség során (terhességi herpesz), a test hirtelen mozgását okozó idegi betegség (Sydenham-chorea),
- ha kloazmája van (vagy bármikor volt) (a bőr, főleg az arc vagy a nyak bőrének elszíneződése, amely "terhességi foltok" néven ismert). Ha ez fennáll, kerülje a napfénnyel vagy ultraibolya sugárzással való közvetlen érintkezést,
- ha angioödéma tüneteit tapasztalja - például az arc, a nyelv és/vagy a torok duzzadását és/vagy nyelési nehézséget, vagy csalánkiütést, amelyekhez esetleg nehézlégzés is társul, azonnal keresse fel kezelőorvosát. Az ösztrogént tartalmazó gyógyszerek kiválthatják vagy súlyosbíthatják az örökletes és a nem örökletes angioödéma tüneteit.
VÉRRÖGÖK
A kombinált hormonális fogamzásgátlók, mint például a Levonoree alkalmazása növeli a vérrögök kialakulásának kockázatát ahhoz képest, mintha nem használna ilyen készítményt. Ritka esetben egy vérrög elzárhat egyes vérereket, és ez súlyos problémákhoz vezethet.
A vérrögök az alábbi helyeken alakulhatnak ki:
- vénákban (erre "vénás trombózisként", "vénás tromboembóliaként" vagy VTE-ként hivatkoznak)
- artériákban (erre "artériás trombózisként", "artériás tromboembóliaként" vagy ATE-ként hivatkoznak).
A vérrögök által okozott problémákból történő felépülés nem mindig teljes. Ritkán súlyos, tartós hatások maradhatnak vissza, illetve nagyon ritkán ezek halálos kimenetelűek is lehetnek.
Nem szabad elfelejteni, hogy a Levonoree filmtabletta alkalmazása következtében kialakuló, ártalmas vérrögök előfordulásának összesített kockázata alacsony.
HOGYAN ISMERHETŐ FEL A VÉRRÖG?
Sürgősen forduljon orvoshoz, ha az alábbi jelek vagy tünetek bármelyikét észleli.
VÉNÁS VÉRRÖGÖK
Milyen következményekkel járhat, ha vérrög alakul ki valamelyik vénában?
- A kombinált hormonális fogamzásgátlók alkalmazását összefüggésbe hozták a vénákban kialakuló vérrögök (vénás trombózis) emelkedett kockázatával. Ugyanakkor ezek a mellékhatások ritkák. Leggyakrabban a kombinált hormonális fogamzásgátló alkalmazásának első évében alakulnak ki.
- Ha a lábszár vagy láb valamely vénájában vérrög alakul ki, akkor az mélyvénás trombózist (MVT) okozhat.
- Ha lábszárban kialakult vérrög a tüdőbe sodródik és ott elakad, akkor az tüdőembóliát okozhat.
- Nagyon ritkán vérrögök más szervek vénáiban, mint például a szemben (retinavéna trombózisa) is kialakulhatnak.
Mikor a legnagyobb a vérrögök kialakulásának kockázata?
A vénás vérrögök kialakulásának kockázata a kombinált hormonális fogamzásgátló legelső alkalmazásának első évében a legmagasabb. A kockázat akkor is magasabb lehet, ha egy 4 hetes vagy hosszabb szünet után újrakezdi a kombinált hormonális fogamzásgátló (akár ugyanazon készítmény, akár másik) alkalmazását.
Az első évet követően a kockázat alacsonyabb lesz, de még mindig magasabb marad annál, mint ha nem szedne semmilyen kombinált hormonális fogamzásgátlót.
Amikor abbahagyja a Levonoree szedését, akkor a vérrögök kialakulásának kockázata néhány héten belül visszaáll a normális szintre.
Mi a kockázata a vérrögök kialakulásának?
Ez a kockázat az Ön VTE-vel kapcsolatos természetes kockázatától, valamint az Ön által alkalmazott kombinált hormonális fogamzásgátló típusától függ.
A Levonoree alkalmazása mellett a lábszárban vagy tüdőben (MVT vagy TE) kialakuló vérrögök összesített kockázata alacsony.
- Semmilyen kombinált hormonális fogamzásgátlót nem alkalmazó, illetve nem terhes 10 000 nő közül hozzávetőlegesen 2 nőnél alakul ki vérrög egy év alatt.
- Levonorgesztrelt vagy noretiszteront, illetve norgesztimátot tartalmazó kombinált hormonális fogamzásgátlót szedő 10 000 nő közül hozzávetőlegesen 5-7 nőnél alakul ki vérrög egy év alatt.
- A vérrögök kialakulásának kockázata az Ön személyes kórtörténetének függvényében változhat (lásd alább, "A vérrögök kialakulásának kockázatát növelő tényezők" pontot).
A vénás vérrögök kialakulásának kockázatát növelő tényezők
A Levonoree alkalmazása mellett kialakuló vérrögök kockázata alacsony, de bizonyos állapotok növelik ezt a kockázatot. Az Ön kockázata magasabb:
- ha Ön nagyon túlsúlyos (a testtömegindexe, azaz BMI-je 30 kg/m2 felett van);
- ha valamelyik közvetlen családtagjának fiatal korában (pl. 50 éves életkor előtt) vérrög alakult ki a lábszárában, tüdejében vagy más szervében. Ebben az esetben Önnek örökletes véralvadási zavara lehet;
- ha Önnél műtéti beavatkozást szükséges végezni, vagy valamilyen sérülés vagy betegség miatt hosszabb ideig fekvőbeteg, illetve, ha a lábszára gipszkötésben van. Lehet, hogy abba kell hagyni a Levonoree alkalmazását a műtét előtt néhány héttel, vagy amíg kevésbé mozgékony. Ha abba kell hagynia a Levonoree alkalmazását, akkor kérdezze meg kezelőorvosát, hogy mikor kezdheti el újra.
- az életkor előrehaladtával (különösen 35 éves életkor felett);
- ha néhány héten belül gyermeket szült, vagy ha a terhesség második harmadában elvetélt.
A vérrögök kialakulásának kockázata annál jobban emelkedik, minél több ilyen állapottal rendelkezik.
A 4 óránál hosszabb repülőút átmenetileg növelheti a vérrögképződés kockázatát, különösen akkor, ha a felsorolt tényezőkből néhány fennáll Önnél.
Feltétlenül tájékoztassa a kezelőorvosát az Önre vonatkozó fenti állapotokról, még akkor is, ha nem biztos bennük. Kezelőorvosa eldöntheti, hogy abba kell-e hagyni a Levonoree alkalmazását.
Ha a fenti állapotok bármelyike változik a Levonoree alkalmazása során, például egy közeli családtagnál ismeretlen okból trombózis alakul ki, vagy Ön sokat hízik, tájékoztassa a kezelőorvosát.
ARTÉRIÁS VÉRRÖGÖK
Milyen következményekkel járhat, ha vérrög alakul ki valamelyik artériában?
Csakúgy, mint a vénás vérrögök, az artériás vérrögök is súlyos problémákat okozhatnak. Például szívrohamhoz vagy agyi érkatasztrófához (sztrókhoz) vezethetnek.
Az artériás vérrögök kialakulásának kockázatát növelő tényezők
Fontos megjegyezni, hogy a Levonoree alkalmazása mellett kialakuló szívroham vagy sztrók kockázata nagyon alacsony, de emelkedhet:
- az életkor előrehaladtával (35 éves életkor felett);
- ha dohányzik. Ha kombinált hormonális fogamzásgátlót alkalmaz, mint például a Levonoree filmtablettát, javasolt, hogy szokjon le a dohányzásról. Ha nem tud leszokni a dohányzásról és 35 évesnél idősebb, akkor kezelőorvosa más típusú fogamzásgátló alkalmazását is javasolhatja;
- ha túlsúlyos;
- ha magas vérnyomásban szenved;
- ha valamelyik közvetlen családtagjának fiatal életkorban (körülbelül 50 éves kora előtt) szívrohama vagy sztrókja volt. Ebben az esetben Önnél is magasabb lehet a szívroham vagy a sztrók kockázata;
- ha Önnek, vagy valamelyik közvetlen családtagjának magas a vérzsírszintje (koleszterin vagy triglicerid);
- ha migrénes fejfájása szokott lenni, különösen akkor, ha aurával járó migrénről van szó;
- ha valamilyen szívproblémája van (szívbillentyű-rendellenesség, pitvarremegésnek nevezett ritmuszavar);
- ha cukorbetegségben szenved.
Ha a fenti állapotok közül Önnél egynél több áll fenn, vagy ha ezek közül valamelyik nagyon súlyos, akkor a vérrögök kialakulásának kockázata még magasabb.
Ha a Levonoree alkalmazása során a fenti állapotok bármelyike változik, például ha dohányozni kezd, vagy egy közeli családtagnál ismeretlen okból trombózis alakul ki, illetve Ön sokat hízik, tájékoztassa a kezelőorvosát.
A Levonoree filmtabletta és a daganatok
A kombinált tablettákat szedő nőknél valamivel gyakrabban diagnosztizálnak emlőrákot, azonban nem ismert, hogy ezt a különbséget a kezelés okozza-e. A különbségnek az is lehet az oka, hogy a tablettát szedőket alaposabban és gyakrabban vizsgálják, ezért az emlőrákot korábban diagnosztizálják.
Az emlőrák előfordulási gyakorisága fokozatosan csökken a kombinált hormonális fogamzásgátlók szedésének abbahagyása után. Fontos, hogy rendszeresen vizsgálja meg emlőit, és ha bármilyen csomót tapasztal, forduljon kezelőorvosához.
Ritka esetekben jóindulatú májdaganatokat találtak a tablettát szedőknél, még ritkább esetekben pedig rosszindulatú daganatokat. Ha szokatlanul erős hasi fájdalmat észlel, azonnal keresse fel kezelőorvosát.
Pszichiátriai kórképek
Egyes hormonális fogamzásgátlókat, köztük a Levonoree-t használó nők depresszióról, illetve depresszív hangulatról számoltak be. A depresszió súlyossá is válhat, és időnként öngyilkossági gondolatokhoz vezethet. Ha Ön hangulatváltozásokat és depresszív tüneteket tapasztal, a lehető leghamarabb forduljon kezelőorvosához további ellátás céljából.
Vérzések a menstruációs időszakok között
A Levonoree szedésének első néhány hónapja alatt tapasztalhat váratlan vérzést (a placebohéten kívüli vérzés). Ha ez a vérzés néhány hónapnál tovább tart, vagy később, néhány hónappal a gyógyszerszedés elkezdése után jelentkezik, beszéljen orvosával, aki kivizsgálja ennek okát.
Mit kell tenni, ha nincs vérzés a placebohét alatt?
Ha minden rózsaszín, aktív filmtablettát pontosan beszedett, nem hányt, nem volt súlyos hasmenése, és nem szedett más gyógyszereket, akkor nagyon valószínűtlen, hogy terhes. Ha a várt vérzés kétszer egymás után elmarad, lehetséges, hogy teherbe esett. Azonnal beszéljen orvosával. Ne kezdje meg a következő csomagot, amíg meg nem bizonyosodott arról, hogy nem terhes.
Egyéb gyógyszerek és a Levonoree filmtabletta
Feltétlenül tájékoztassa kezelőorvosát vagy gyógyszerészét a jelenleg vagy nemrégiben szedett, valamint szedni tervezett egyéb gyógyszereiről. Ők meg tudják mondani, ha kiegészítő fogamzásgátlásra van szüksége (ilyen például az óvszer), és ha ez a helyzet, akkor meddig.
Néhány gyógyszer befolyásolhatja a Levonoree hatóanyagainak vérszintjét, csökkentheti hatását a terhesség megelőzésében, vagy váratlan vérzést okozhat. Ezek a következők lehetnek:
- gyógyszerek, amelyeket a következők kezelésére alkalmaznak:
-- emésztőrendszeri zavarok (például metoklopramid),
-- epilepszia (például pirimidon, fenitoin, barbitur��tok, karbamazepin, oxkarbazepin, topiramát vagy felbamát),
-- tuberkulózis (például rifampicin, rifabutin),
-- HIV- és hepatitiszvírus-fertőzések (úgynevezett proteázinhibitorok és nem nukleozid reverztranszkriptáz-inhibitorok például ritonavir, nevirapin, indinavir)
-- egyes gombás fertőzések (például grizeofulvin, itrakonazol, vorikonazol, flukonazol),
-- bakteriális fertőzések (makrolid antibiotikumok, például klaritromicin, eritromicin),
-- egyes szívbetegségek, illetve magas vérnyomás (például atorvasztatin, verapamil, diltiazem),
-- ízületi gyulladás, ízületi porckopás (etorikoxib),
-- idegrendszeri zavar (modafinil),
-- fájdalom és láz (paracetamol);
- aszkorbinsav (más néven C-vitamin);
- a közönséges orbáncfüvet (Hypericum perforatum-ot) tartalmazó gyógynövénykészítmények.
A Levonoree befolyásolhatja más gyógyszerek hatását, ilyenek például:
- a ciklosporint tartalmazó gyógyszerek,
- az epilepszia elleni lamotrigin (ez a görcsök nagyobb gyakoriságát eredményezheti),
- melatonin (álmatlanságra alkalmazzák),
- tizanidin (izomlazító),
- bizonyos nyugtatók: lorazepám, diazepám,
- teofillin (asztma kezelésére szolgál),
- egyes szteroid hormonok (pl. kortizol),
- klofibrát (koleszterinszint-csökkentő gyógyszer)
- morfin (nagyon erős fájdalomcsillapító).
A troleandomicin növelheti a májon belüli epepangás veszélyét, amennyiben szájon át alkalmazott, kombinált fogamzásgátlókkal együtt alkalmazzák.
Cukorbetegségben szenvedőknél szükség lehet a vércukorszintet csökkentő gyógyszerek (pl. inzulin) adagolásának módosítására.
Ne alkalmazza a Levonoree-t, ha hepatitisz C-fertőzés okozta májgyulladása van, és emiatt ombitaszvir/paritaprevir/ritonavirt, dazabuvirt, glekaprevir/pibrentaszvirt vagy szofoszbuvir/velpataszvir/voxilaprevirt tartalmazó gyógyszereket szed, mert ezek a gyógyszerek a máj működését tükröző laborértékek (a GPT (néha ALAT néven is feltüntetik) májenzim vérszintjének) emelkedését okozhatják.
Az ilyen gyógyszerekkel történő kezelés megkezdése előtt orvosa más típusú fogamzásgátlót ír fel Önnek. A Levonoree szedését a fenti kezelés befejezése után körülbelül 2 héttel lehet újrakezdeni. Lásd a "Ne szedje a Levonoree filmtablettát" című pontot.
Bármilyen új gyógyszer bevétele előtt kérdezze meg kezelőorvosát vagy gyógyszerészét.
Laboratóriumi vizsgálatok
Ha vérvizsgálatra van szükség Önnél, mondja el az orvosnak, vagy a laboratórium személyzetének, hogy fogamzásgátló tablettát szed, mivel a hormonális fogamzásgátlók befolyásolhatják néhány vizsgálat eredményeit.
Terhesség és szoptatás
Ha Ön terhes vagy szoptat, illetve, ha fennáll Önnél a terhesség lehetősége vagy gyermeket szeretne, a gyógyszer alkalmazása előtt beszéljen kezelőorvosával vagy gyógyszerészével.
Ha terhes, ne szedje a Levonoree filmtablettát. Ha a Levonoree szedése közben teherbe esik, azonnal hagyja abba a filmtabletta szedését, és lépjen kapcsolatba kezelőorvosával. Ha teherbe szeretne esni, bármikor abbahagyhatja a filmtabletta szedését (lásd még "Ha abba akarja hagyni a Levonoree filmtabletta szedését").
A Levonoree szedése szoptatás ideje alatt általában nem javasolt. Ha szoptatás ideje alatt szedni akarja a tablettát, beszélje meg kezelőorvosával. Lehetőség szerint nem hormonális fogamzásgátló módszert kell alkalmazni a csecsemő teljes elválasztásáig.
A készítmény hatásai a gépjárművezetéshez és a gépek kezeléséhez szükséges képességekre
Nincs információ arra vonatkozólag, hogy a Levonoree befolyásolná a gépjárművezetéshez és a gépek kezeléséhez szükséges képességeket.
A Levonoree filmtabletta laktózt és szójalecitint tartalmaz
A készítmény laktózt (tejcukrot) tartalmaz. Amennyiben kezelőorvosa korábban már figyelmeztette Önt, hogy bizonyos cukrokra érzékeny, keresse fel orvosát, mielőtt elkezdi szedni ezt a gyógyszert.
A rózsaszín (aktív) filmtabletta szójalecitint tartalmaz. Ne alkalmazza a készítményt, amennyiben földimogyoró- vagy szójaallergiája van.
3. Hogyan kell szedni a Levonoree filmtablettát?
A gyógyszert mindig a kezelőorvosa vagy gyógyszerésze által elmondottaknak megfelelően szedje. Amennyiben nem biztos az adagolást illetően, kérdezze meg kezelőorvosát vagy gyógyszerészét.
Ha Ön a 28 napos Levonoree filmtabletta szedésének megkezdése előtt már szedett más fogamzásgátlót, akkor tudja, hogy a fogamzásgátlók többsége 21 tablettát tartalmaz. Ezeknél a fogamzásgátlóknál a tablettát 21 napig szedi, majd utána jön egy hét, amikor semmilyen tablettát nem vesz be (tablettamentes időszak).
A 28 napos Levonoree filmtabletta szedése esetén követendő módszer eltér ettől. A 21 rózsaszín filmtabletta beszedése után folytatni kell a tablettaszedést, és be kell szedni a 7 placebotablettát; ennek következtében nincs gyógyszermentes időszak, hanem egy "placebo" hét következik (az a hét, amikor a 4. sorban levő placebotablettákat veszi be). Mivel minden nap be kell venni egy tablettát, és nincs gyógyszermentes időszak a két csomag között, a tabletták szedése rutinná válik, és ennek következtében kisebb a kockázata annak, hogy elfelejt bevenni egy tablettát.
A két különböző színű Levonoree filmtabletta sorba van rakva. Egy csomag 28 tablettát tartalmaz.
Minden nap vegyen be egy Levonoree filmtablettát étkezés közben vagy attól függetlenül, ha szükséges, akkor kis mennyiségű vízzel. A tablettákat minden nap, körülbelül ugyanabban az időpontban kell bevenni.
Ne keverje össze a tablettákat: az első 21 napban vegyen be napi egy rózsaszín tablettát, majd a következő 7 napban napi egy fehér tablettát. Ezután azonnal kezdjen meg egy új csomagot (21 rózsaszín majd 7 fehér tabletta). Tehát a két csomag között nincs szünet.
A csomag 28 tablettát tartalmaz. A napi bevétel (28 egymást követő napon) fontos ahhoz, hogy megtartsuk a fogamzásgátló hatást.
Kövesse a csomagon levő nyíl által mutatott sorrendet, először vegye be a rózsaszín tablettákat 21 nap alatt, majd a fehér tablettákat az ezt követő 7 napon, így mind a 28 tablettát beszedi. Ezután egy új csomagot kell megkezdeni. Ez azt jelenti, hogy a csomagok között nincs gyógyszermentes időszak.
Az alatt a 7 nap alatt, amíg a fehér placebotablettákat szedi (placebonapok), a vérzésnek meg kell kezdődni (úgynevezett megvonásos vérzés). Ez általában a Levonoree filmtabletta utolsó aktív, rózsaszín tablettájának beszedése utáni 2. vagy 3. napon kezdődik. Miután bevette az utolsó fehér filmtablettát, kezdje a következő csomaggal, függetlenül attól, hogy vérzése befejeződött vagy sem. Ez azt jelenti, hogy mindegyik csomagot a hétnek ugyanazon a napján kell megkezdeni, és a megvonásos vérzésnek minden hónapban ugyanazon a napon kell megkezdődni.
Ha a Levonoree filmtablettát így szedi, akkor abban a 7 napban is védve van a terhesség ellen, amelyben a placebotablettát szedi.
Mikor kezdheti meg az első csomagot
• Ha az előző hónapban nem használt semmilyen hormonális fogamzásgátlót
Kezdje el a Levonoree filmtabletta szedését a ciklus első napján (azaz a menstruációs periódusa első napján). Ha a menstruáció első napján kezdi el a Levonoree filmtabletta szedését, akkor azonnal védve van a terhességgel szemben. A 2-5. napon is elkezdheti, de kiegészítő fogamzásgátló módszert, azaz például óvszert kell használnia a tabletta szedésének első 7 napjában.
• Ha egy másik kombinált hormonális fogamzásgátlóról, hüvelygyűrűről vagy egy tapaszról áll át
A Levonoree filmtabletta szedését lehetőleg az előző fogamzásgátló utolsó aktív tablettájának (az utolsó, hatóanyagokat tartalmazó tabletta) beszedése utáni napon kezdje meg, de legkésőbb az előző fogamzásgátló tablettamentes napjait követő napon (vagy a korábbi fogamzásgátló utolsó inaktív tablettáját követő napon). Ha egy kombinált fogamzásgátló hüvelygyűrűről vagy tapaszról áll át, kövesse orvosa tanácsát.
• Ha egy csak progesztogént alkalmazó módszerről áll át (csak progesztogént tartalmazó tabletta, injekció, implantátum vagy progesztogént kibocsátó méhen belüli eszköz - IUD)
A csak progesztogént tartalmazó tablettáról bármelyik napon átállhat (az implantátumról vagy a méhen belüli eszközről az eltávolítás napján, injekciós készítményről pedig a következő injekció esedékességének napján válthat át), de mindegyik esetben kiegészítő fogamzásgátló módszert kell alkalmazni (például óvszert) a tablettaszedés első 7 napján.
• Ha abortusza volt
Kövesse orvosa utasításait.
• Szülés után
A szülés után legkorábban a 28. napon kezdheti el szedni a Levonoree filmtablettát. Az első hét napban úgynevezett mechanikus fogamzásgátló módszert (például óvszert) kell alkalmaznia.
Ha szülés után a Levonoree filmtabletta szedésének (vagy újbóli szedésének) megkezdése előtt szexuális kapcsolata volt, bizonyosodjon meg arról, hogy nem terhes, vagy várjon a következő menstruációs periódusig, mielőtt elkezdi szedni ezt a gyógyszert.
• Ha szoptat, és a baba születése után (újra) meg akarja kezdeni a Levonoree filmtabletta szedését
Olvassa el a "Terhesség és szoptatás" című részt.
Ha nem biztos abban, mikor kell elkezdeni a Levonoree filmtabletta szedését, kérje kezelőorvosa tanácsát.
Ha az előírtnál több Levonoree filmtablettát vett be
A Levonoree filmtabletta túladagolásából származó súlyos káros hatás nem ismert. Ha több Levonoree filmtablettát vett be, a tünetek közé tartozik a hányinger, a hányás, és fiatal lányoknál az enyhe hüvelyvérzés.
Ha túl sok Levonoree filmtablettát vett be, vagy tudomására jut, hogy egy gyermek vett be a gyógyszerből, haladéktalanul kérje orvosa vagy gyógyszerésze tanácsát.
Ha elfelejtette bevenni a Levonoree filmtablettát
A csomag negyedik sorában levő tabletták a placebotabletták. Ha ezek közül a tabletták közül felejtett el bevenni egyet, ennek nincs hatása a Levonoree filmtabletta megbízhatóságára. Az elfelejtett placebotablettát dobja ki.
Ha az 1., 2. vagy 3. sorban levő rózsaszín, aktív filmtabletták közül hagy ki egyet, a következőket kell tenni:
- Ha 12 óránál rövidebb időt késett a filmtabletta bevételével, a terhesség elleni védelem nem csökken. Mihelyt eszébe jut, vegye be a tablettát, majd folytassa a tablettaszedést a további filmtabletták szokásos időpontban történő bevételével.
- Ha több mint 12 órát késik a filmtabletta bevételével, a fogamzás elleni védelem gyengülhet. Minél több filmtablettát felejtett el, annál nagyobb a kockázata annak, hogy terhes lesz.
Különösen nagy a teherbeesés kockázata, ha a tablettaszedés első vagy harmadik hetében (1. vagy 3. sor) hagyott ki rózsaszín, aktív tablettákat.
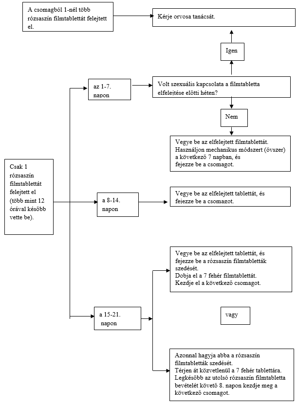
Ezért az alábbi szabályokat kell betartani (lásd az alábbi ábrát is):
- Ha a jelenlegi csomagból egynél több tablettát felejtett el bevenni
Keresse fel orvosát.
- Ha az 1-7. napon 1 tablettát felejtett el (első sor)
Mihelyt eszébe jut, azonnal vegye be az elfelejtett tablettát, még akkor is, ha ez azt jelenti, hogy egyszerre két tablettát kell bevennie. Ezután a tablettákat ismét a szokásos időpontban vegye be, de a következő 7 napban kiegészítő fogamzásgátlást kell alkalmaznia (például óvszert). Ha a kihagyás előtti héten szexuális együttlétre került sor, akkor terhes lehet. Ebben az esetben forduljon kezelőorvosához.
- Ha a 8-14. napon 1 tablettát felejtett el (második sor)
Mihelyt eszébe jut, azonnal vegye be az elfelejtett tablettát, még akkor is, ha ez azt jelenti, hogy egyszerre két tablettát kell bevennie. Ezután a tablettákat ismét a szokásos időpontban vegye be. A gyógyszer fogamzásgátló hatása nem gyengül, nem szükséges kiegészítő fogamzásgátló módszer alkalmazása.
- Ha a 15-21. napon 1 tablettát felejtett el (harmadik sor)
Két lehetőség közül választhat:
1. Mihelyt eszébe jut, azonnal vegye be a tablettát, még akkor is, ha ez azt jelenti, hogy egyszerre két tablettát kell bevennie. Folytassa a tabletták szedését a szokásos időpontban. Hagyja ki a placebotablettákat, majd haladéktalanul kezdje el a következő csomagban lévő filmtabletták szedését.
Nagyon valószínű, hogy igazi megvonásos vérzése csak a második csomag végén lesz (amíg a fehér placebotablettákat szedi), de a 2. csomag beszedése közben pecsételő vagy áttöréses, menstruációszerű vérzést észlelhet.
2. Abba is hagyhatja az rózsaszín, aktív tabletták szedését ebből a csomagból, és azonnal megkezdheti a fehér placebotabletták szedését (meg kell jegyeznie azt a napot, amelyen elfelejtette bevenni a tablettát, hogy a placebotablettás napok száma ne haladja meg a 7 napot; a placebotablettás időszakba tehát az a nap is beleszámít, amelyiken elfelejtette bevenni a tablettát). A legfeljebb 7 napos placebotablettás időszak után folytassa a következő csomaggal. Ha az új csomagot a szokásos kezdőnapján akarja elkezdeni, akkor a placebotablettákat 7 napnál rövidebb ideig szedje.
Ha a két javaslat valamelyikét követi, védve marad a terhességgel szemben.
Ha a csomagban levő bármelyik tablettát elfelejtette, és a placebotablettás időszakban nem jelentkezik megvonásos vérzés, ez jelentheti azt, hogy terhes. Beszéljen kezelőorvosával, mielőtt megkezdi a következő csomagot.
Mit kell tenni, ha hány, vagy súlyos hasmenése van
Ha egy aktív, rózsaszín filmtabletta bevétele után 3-4 órán belül hány, vagy súlyos hasmenése van, megvan a veszélye, hogy a filmtablettában levő hatóanyagok nem szívódtak fel teljesen a szervezetében. A helyzet majdnem ugyanaz, mint ha elfelejtett volna bevenni egy filmtablettát. Hányás vagy hasmenés után a tartalék csomagból a lehető leghamarabb vegyen be egy másik rózsaszín filmtablettát. Ha lehetséges, ezt a normális tablettaszedéshez képest 12 órán belül vegye be. Ha ez nem lehetséges, vagy 12 óra már eltelt, kövesse a "Ha elfelejtette bevenni a Levonoree filmtablettát" fejezetben adott tanácsokat.
Menstruációjának késleltetése: mit kell tudni
Bár ez nem ajánlott, késleltetheti a menstruációt, ha a fehér placebotabletták bevétele helyett a Levonoree filmtabletta új csomagjával folytatja. Ennek a második csomagnak a szedése során menstruációszerű (áttöréses) vérzést vagy pecsételő vérzést tapasztalhat. Fejezze be a második csomagot olyan módon, hogy beszedi a 4. sorban levő 7 fehér placebotablettát is. Ezt követően folytassa a filmtabletták szedését egy következő csomaggal.
Kikérheti orvosa tanácsát, mielőtt dönt menstruációjának késleltetéséről.
Menstruációja első napjának megváltoztatása: mit kell tudni
Ha a tablettákat az utasítások szerint szedi, akkor menstruációja egy olyan napon fog kezdődni, amelyen placebotablettát szed. Ha ezt a napot meg akarja változtatni, csökkentse azoknak a napoknak a számát, amelyeken placebotablettákat szed (de soha ne növelje meg a placebotablettás napok számát - 7 nap a maximum!). Ha például a placebonapjai normális körülmények között pénteken kezdődnek, és ezt a napot keddre akarja változtatni (3 nappal korábbra), kezdjen egy új csomagot a szokásosnál 3 nappal korábban. Ha nagyon lerövidíti a placeboidőszakot (például 3 napra vagy rövidebbre), előfordulhat, hogy nem jelentkezik vérzés ebben az időszakban. Ezt követően pecsételő vagy menstruációszerű áttöréses vérzést tapasztalhat.
Ha nem biztos abban, mit kell tennie, kérje orvosa tanácsát.
Ha abba akarja hagyni a Levonoree filmtabletta szedését
A Levonoree szedését bármikor abbahagyhatja. Ha nem akar teherbe esni, kérje ki orvosa tanácsát a születésszabályozás más megbízható módszereiről. Ha teherbe akar esni, hagyja abba a Levonoree szedését, és várjon meg egy menstruációs periódust, mielőtt megpróbál teherbe esni. Ez által könnyebben ki fogja tudni számítani a szülés várható időpontját.
Ha bármilyen további kérdése van a gyógyszer alkalmazásával kapcsolatban, kérdezze meg kezelőorvosát vagy gyógyszerészét.
4. Lehetséges mellékhatások
Mint minden gyógyszer, így ez a gyógyszer is okozhat mellékhatásokat, amelyek azonban nem mindenkinél jelentkeznek.
Minden kombinált hormonális fogamzásgátlót szedő nőnél emelkedett a kockázata a vénákban (vénás tromboembólia (VTE)) és az artériákban (arteriás tromboembólia (ATE)) előforduló vérrögök kialakulásának. A kombinált hormonális fogamzásgátlók alkalmazásával járó különböző kockázatokkal kapcsolatos, részletesebb információért kérjük, olvassa el a "Tudnivalók a Levonoree filmtabletta szedése előtt" című 2. pontot.
Súlyos mellékhatások
Azonnal kérjen orvosi segítséget, ha angioödémára utaló tünetek bármelyikét tapasztalja: az arc, a nyelv és/vagy a torok duzzadása és/vagy nyelési nehézség vagy csalánkiütés, amelyekhez esetleg nehézlégzés is társul (lásd még a "Figyelmeztetések és óvintézkedések" című pontot).
A kombinált hormonális fogamzásgátlót szedő nőknél emelkedett a kockázata a vénákban (vénás tromboembólia (VTE)) és az artériákban (artériás tromboembólia (ATE)) előforduló vérrögök, a jóindulatú májdaganatok, a méhnyakrák és az emlőrák kialakulásának.
Az alábbi lista azokat a mellékhatásokat tartalmazza, amelyeket a Levonoree filmtabletta alkalmazásával hoztak összefüggésbe:
Nagyon gyakori (10 nőből több mint 1-et érinthet):
- fejfájás, migrén
Gyakori (10 nőből legfeljebb 1-et érinthet):
- hangulatingadozások, depresszió
- idegesség
- szédülés
- libidócsökkenés vagy fokozott libidó
- hüvelygyulladás (vaginitisz), beleértve a gombák (kandida) okozta gyulladást is
- hányinger, hányás, hasi fájdalom (gyomorfájás)
- akne
- emlőfájdalom, emlőérzékenység, emlőváladékozás
- menstruációs zavarok (dizmenorrea), a menstruációs vérzés erősségének megváltozása, a havivérzés kimaradása (amenorrea)
- hüvelyváladékozás
- folyadék-visszatartás a szövetekben (ödéma)
- testtömeg-növekedés vagy testtömegcsökkenés.
Nem gyakori (100 nőből legfeljebb 1-et érinthet):
- étvágyváltozások (étvágynövekedés vagy étvágycsökkenés)
- csökkent glükózbontó képesség (glükóz-intolerancia)
- bőrkiütés, csalánkiütés
- a bőr sötét foltos elszíneződése, bőrpigment-elváltozással (kloazma/ melazma), ami tartós lehet
- fokozott szőrnövekedés (hirzutizmus)
- hajhullás, kopaszodás (alopecia)
- hasi görcsök, puffadás, hasmenés
- emlőmegnagyobbodás
- emelkedett vérnyomás
- a vér lipidszintjének változásai, beleértve a hipertrigliceridémiát is.
Ritka (1000 nőből legfeljebb 1-et érinthet):
- kontaktlencse-intolerancia
- a szemek és az ajkak körüli duzzanat (angioödéma), súlyos allergiás reakciók légúti és keringési tünetekkel
- a vénákban vagy artériákban kialakuló ártalmas vérrögök, mint például:
-- a lábszárban vagy a lábban (azaz MVT - mélyvénás trombózis),
-- a tüdőben (azaz TE - tüdőembólia),
-- szívroham,
-- agyi érkatasztrófa (sztrók),
-- minisztrók vagy átmeneti, sztrókszerű tünetek, amely átmeneti iszkémiás rohamként (TIA - tranziens iszkémiás attak) ismert,
-- a májban, hasban/belekben, vesében vagy a szemben kialakuló vérrögök.
- epeelzáródás okozta sárgaság
- a bőrgyulladás egy típusa, amely vöröses, fájdalmas csomókat eredményez (eritéma nodózum)
- bőrrendellenesség, amely vörös, céltábla alakú foltokat, sebhelyeket okoz (eritéma multiforme)
- a vér folsavszintjének csökkenése.
Nagyon ritka (10 000 nőből legfeljebb 1-et érinthet):
- májdaganatok (hepatocelluláris karcinomák)
Nem ismert gyakoriságú (a gyakoriság a rendelkezésre álló adatokból nem állapítható meg)
- örökletes és nem örökletes (szerzett) angioödéma tüneteinek fellángolása
- a májenzimek emelkedett szintje (emelkedett transzaminázszint).
A kombinált fogamzásgátló tabletták szedését továbbá az alábbi mellékhatások kialakulásával is összefüggésbe hozták:
- látóideg-gyulladás (neuritisz optika) - részleges vagy teljes látásvesztéshez vezethet
- a retina ereinek trombózisa
- visszeresség (varikozitás) súlyosbodása
- hasnyálmirigy-gyulladás (pankreatitisz), amelyet súlyos zsíranyagcsere-zavar kísér
- nem megfelelő vérellátás miatt kialakuló (iszkémiás) vastagbélgyulladás
- májkárosodás (például májgyulladás, májműködési zavar)
- epehólyag-betegség kialakulása vagy súlyosbodása, beleértve az epekövességet is
- hemolitikus urémiás szindróma (HUS - legtöbbször Escherichia coli baktérium által okozott hasmenés után előforduló állapot)
- terhességi herpesz
- a belső fül csontos tokjának csontosodási zavara (otoszklerózis), amely hallásromlással jár
- a szisztémás lupusz eritematózusz (SLE - egy olyan betegség, amelyben a szervezet a saját szerveit és szöveteit károsítja) súlyosbodása
- a bíborbaj (porfiria), egy ritka, öröklődő anyagcsere-betegség súlyosbodása
- Sydenham-kór (gyors, akaratlan rángatózó mozgásokkal járó rendellenesség) súlyosbodása
- depresszió súlyosbodása
- krónikus gyulladásos bélbetegségek (Crohn-betegség és fekélyes vastagbél gyulladás).
Mellékhatások bejelentése
Ha Önnél bármilyen mellékhatás jelentkezik, tájékoztassa kezelőorvosát, gyógyszerészét vagy a gondozását végző egészségügyi szakembert. Ez a betegtájékoztatóban fel nem sorolt bármilyen lehetséges mellékhatásra is vonatkozik.. A mellékhatásokat közvetlenül a hatóság részére is bejelentheti az alábbi elérhetőségek valamelyikén keresztül:
Nemzeti Népegészségügyi és Gyógyszerészeti Központ, Postafiók 450, H-1372 Budapest
honlap: https://ogyei.gov.hu
elektronikus bejelentő form: https://mellekhatas.ogyei.gov.hu/
e-mail: adr.box@nngyk.gov.hu
A mellékhatások bejelentésével Ön is hozzájárulhat ahhoz, hogy minél több információ álljon rendelkezésre a gyógyszer biztonságos alkalmazásával kapcsolatban.
5. Hogyan kell a Levonoree filmtablettát tárolni?
A gyógyszer gyermekektől elzárva tartandó!
A dobozon és a buborékcsomagoláson feltüntetett lejárati idő (EXP) után ne szedje ezt a gyógyszert. A lejárati idő az adott hónap utolsó napjára vonatkozik.
Legfeljebb 25 °C-on tárolandó.
Semmilyen gyógyszert ne dobjon a szennyvízbe vagy a háztartási hulladékba. Kérdezze meg gyógyszerészét, hogy mit tegyen a már nem használt gyógyszereivel. Ezek az intézkedések elősegítik a környezet védelmét.
6. A csomagolás tartalma és egyéb információk
Mit tartalmaz a Levonoree filmtabletta?
- A készítmény hatóanyagai: 0,10 mg levonorgesztrel és 0,02 mg etinilösztradiol.
A fehér, placebo filmtabletták nem tartalmaznak hatóanyagot.
- Egyéb összetevők:
• Rózsaszín, aktív filmtabletta: laktóz, povidon K-30 (E1201), magnézium-sztearát (E572), poli(vinil-alkohol) (E1203), talkum (E553b), titán-dioxid (E171), makrogol 3350, alluravörös AC alumíniumlakk (E129), szójalecitin (E322), vörös vas-oxid (E172), indigókármin alumíniumlakk (E132).
• Fehér filmtabletta (inaktív tabletta vagy placebotabletta): laktóz, povidon K-30 (E1201), magnézium-sztearát (E572), poli(vinil-alkohol) (E1203), talkum (E553b), titán-dioxid (E171), makrogol 3350.
Milyen a Levonoree filmtabletta külleme és mit tartalmaz a csomagolás?
Aktív filmtabletta: rózsaszín, kerek filmtabletta.
Placebo filmtabletta: fehér, kerek filmtabletta.
28 filmtabletta (21 rózsaszín, aktív filmtabletta az első, második és harmadik sorban és 7 fehér placebotabletta a negyedik sorban) PVC/PVDC//Al naptárjelzéses buborékcsomagolásban és dobozban.
1 db vagy 3 db buborékcsomagolást tartalmaz dobozonként.
Nem feltétlenül mindegyik kiszerelés kerül kereskedelmi forgalomba.
A betegtájékoztató engedélyezésének dátuma: 2025.09.01.
Kategóriák
ACNE-ELLENES KÉSZÍTMÉNYEK
ANTIBIOTICUMOK ÉS CHEMOTHERAPEUTICUMOK BŐRGYÓGYÁSZATI HASZNÁLATRA
ANTISEPTICUMOK ÉS FERTŐTLENÍTŐK
BŐRLÁGYÍTÓ- ÉS VÉDŐANYAGOK
CORTICOSTEROIDOK, BŐRGYÓGYÁSZATI KÉSZÍTMÉNYEK
EGYÉB BŐRGYÓGYÁSZATI KÉSZÍTMÉNYEK
GOMBÁSODÁS ELLENI BŐRGYÓGYÁSZATI SZEREK
GYÓGYSZERTARTALMÚ KÖTSZEREK
PSORIASIS ELLENI SZEREK
SEBEK ÉS FEKÉLYEK KEZELÉSÉRE SZOLGÁLÓ KÉSZÍTMÉNYEK
VISZKETÉS ELLENI SZEREK, BELEÉRTVE ANTIHISTAMINOK, ÉRZÉSTELENÍTŐK, STB.
ANTIDIABETIKUS TERÁPIA
ÁSVÁNYI ANYAGOK
DIGESTIVUMOK, BELEÉRTVE AZ ENZIMKÉSZÍTMÉNYEKET
ELHÍZÁS ELLENI SZEREK A DIÉTÁS KÉSZÍTMÉNYEK KIVÉTELÉVEL
EPE- ÉS MÁJBETEGSÉGEK GYÓGYSZEREI
ÉTVÁGYGERJESZTŐK
FOGÁSZATI KÉSZÍTMÉNYEK
FUNKCIONÁLIS GASTROINTESTINALIS BETEGSÉGEK ELLENI SZEREK
HÁNYÁSCSILLAPÍTÓK ÉS ÉMELYGÉS ELLENI SZEREK
HASMENÉSGÁTLÓK, VALAMINT A BÉL GYULLADÁSOS ÉS FERTŐZÉSES MEGBETEGEDÉSEINEK SZEREI
ROBORÁLÓ SZEREK
SAVTERMELÉS ZAVARÁVAL JÁRÓ BETEGSÉGEK GYÓGYSZEREI
SYSTEMÁS ANABOLICUMOK
SZÉKREKEDÉS ELLENI SZEREK
TÁPCSATORNA ÉS ANYAGCSERE EGYÉB GYÓGYSZEREI
VITAMINOK
Az adatokat a PHARMINDEX gyógyszer-információs adatbázis szolgáltatja
Ⓒ Vidal Next kft. 2026.